20200219合并IR
对于这种在相同区域内的IR事件,准备把他们合并一下

合并之后
比较内含子长度不相等时,内含子的长度,理论上是At比Dt的要长
## At与Dt
awk -F "_" '$7!=$(NF-1){print "Dt\t"$7 ;print "At\t"$(NF-1)}' 3333 >3333.txt
##计算平均值
awk '$1=="At"{a+=$2}$1=="Dt"{b+=$2}END{print a/2799"\t"b/2799}' 3333.txt
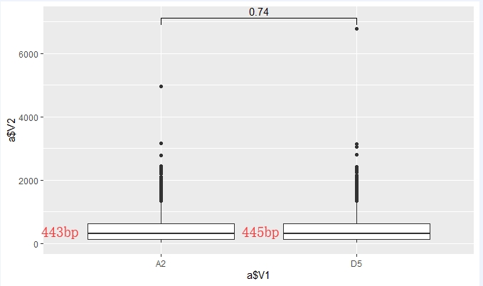
## A2与D5
awk -F "_" '$5!=$(NF-1){print "D5\t"$5 ;print "A2\t"$(NF-1)}' 444 >4444.txt
awk '$1=="A2"{a+=$2}$1=="D5"{b+=$2}END{print a/2641"\t"b/2641}' 4444.txt
A2 与 D5

At 与 Dt

Last updated
Was this helpful?